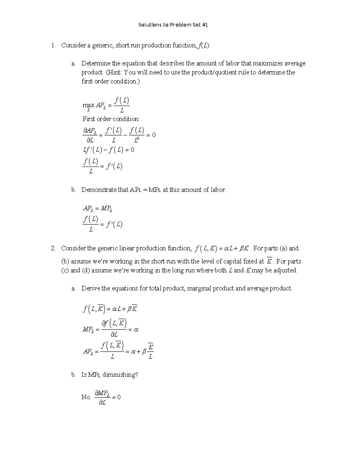
Web Analytics Made Easy - Statcounter
American Crow Haven

American Crow Haven

Explore the intelligent world of the American crow. Our site provides detailed information, striking photos, and the latest research on these highly adaptable birds, their diverse habitats, complex social behaviors, and their crucial role in the ecosystem